Ответы
Ответ дал:
0
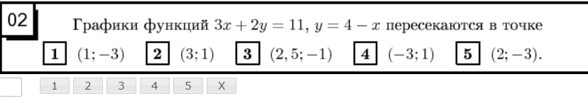
3х+2у=11
у=4-х
3х+2(4-х)=11
3х+8-2х=11
х=3
у=4-3=1
ответ (2)
у=4-х
3х+2(4-х)=11
3х+8-2х=11
х=3
у=4-3=1
ответ (2)
Вас заинтересует
2 года назад
2 года назад
8 лет назад
8 лет назад
10 лет назад
10 лет назад
10 лет назад
10 лет назад