• Предмет: Геометрия
  • Автор: Helena3219
  • Вопрос задан 10 лет назад

помогите пожалуйста!
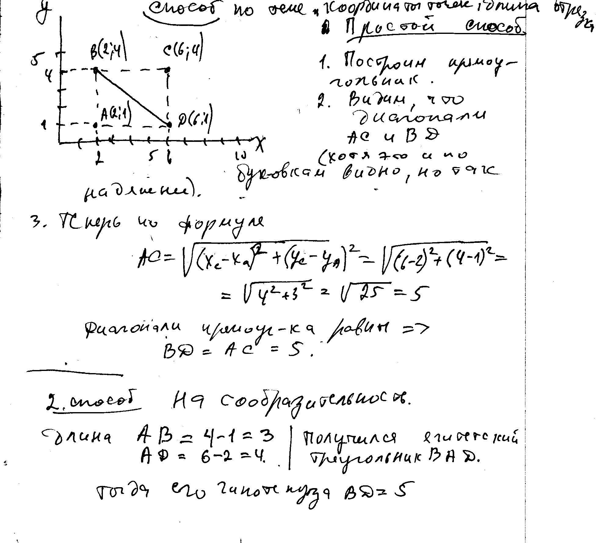
найдите длину диагонали прямоугольника вершины которого имеют координаты (2;1),(2;4),(6;1),(6;4)

Ответы

Ответ дал: ужнеужели
0
найдите длину диагонали прямоугольника вершины которого имеют координаты (2;1),(2;4),(6;1),(6;4)
Приложения:
Вас заинтересует