• Предмет: Алгебра
  • Автор: DeadFall
  • Вопрос задан 10 лет назад

7 класс
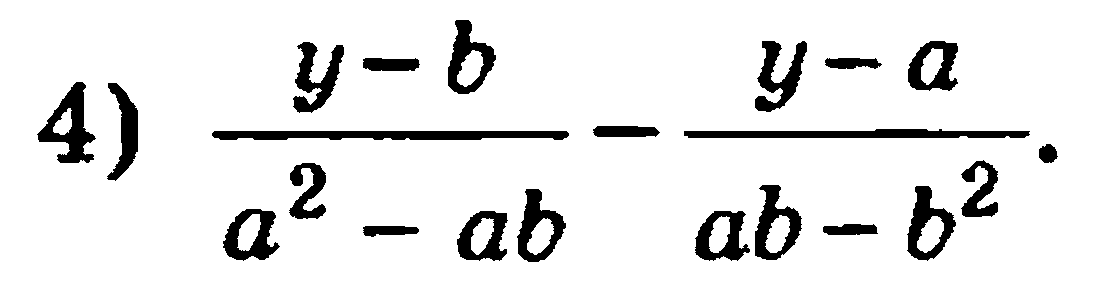
пж объяснение дайте четкое)

Приложения:

Ответы

Ответ дал: ВладимирБ
0
Решение смотри в приложении
Приложения:
Ответ дал: DeadFall
0
теперь все понятно хотя бы
Вас заинтересует