• Предмет: Алгебра
  • Автор: AleXLeon
  • Вопрос задан 10 лет назад

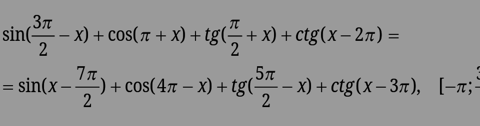
Разложил по формулам приведения(+перепроверил). В итоге получилось:
sinx+tgx+cosx=0. Это правильно и что дальше с ним делать?
П.с. желательно на два вопроса узнать ответ))

Приложения:

Ответы

Ответ дал: okneret
0
Использованы формулы приведения
Приложения:
Вас заинтересует