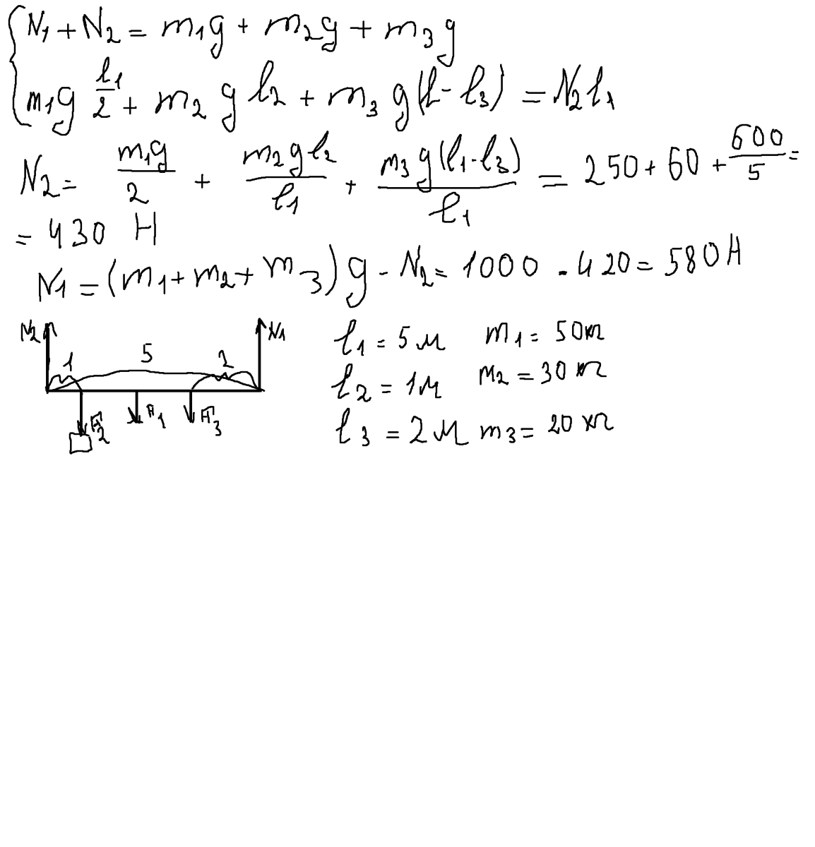
Однородная балка массой 50 кг и длиной 5 м лежит на двух опорах. На балку действуют две силы F1=300 Н и F2=200 Н, точки приложения которых расположены соответственно на расстояниях l1=1м и l2=2м от опор. Определить силы давления балки на опоры
Ответы
Ответ дал:
0
и,,,,,,,,,,,,,,,,,,,,,,,,,,,,,,,,,,,,,,,,,,,,,,,,,,,,,,,,,,,,,,,,,
Приложения:

Вас заинтересует
2 года назад
7 лет назад
7 лет назад
10 лет назад
10 лет назад
10 лет назад