Ответы
Ответ дал:
0
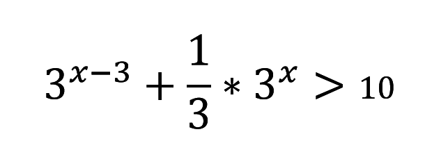
3^(x-3)+(1/3)*3^x>10
(3^x)*(1/3³)+(1/3)*3^x>10
(1/27)*3^x+(1/3)*3^x>10
3^x*(1/27+1/3)>10
3^x*(10/27)>10
3^x>10:(10/27)
3^x>27
3^x>3³. основание а=3, 3>1. знак неравенства не меняем
x>3
(3^x)*(1/3³)+(1/3)*3^x>10
(1/27)*3^x+(1/3)*3^x>10
3^x*(1/27+1/3)>10
3^x*(10/27)>10
3^x>10:(10/27)
3^x>27
3^x>3³. основание а=3, 3>1. знак неравенства не меняем
x>3
Вас заинтересует
3 года назад
8 лет назад
8 лет назад
10 лет назад
11 лет назад