• Предмет: Алгебра
  • Автор: kati39456
  • Вопрос задан 10 лет назад

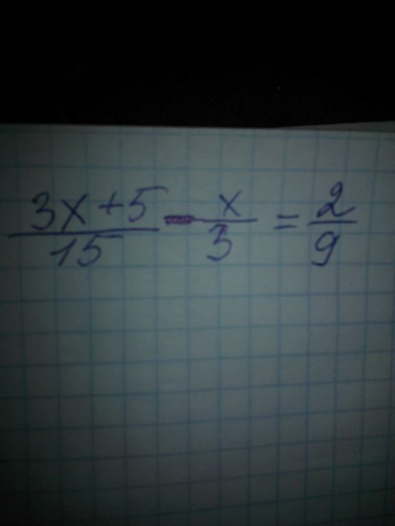
Решите пожалуйста, с подробным решением должно получиться 56. Очень нужно

Приложения:

Ответы

Ответ дал: aleksb1
0
 frac{3x+5}{15} - frac{x}{3} = frac{2}{9}  \  \  \ 15*(frac{3x+5}{15} - frac{x}{3})=15*frac{2}{9} \  \  \  frac{15*(3x+5)}{15} - frac{15x}{3} = frac{30}{9}  \  \  \ (3x+5)-5x= frac{30}{9} \  \  \ -2x=frac{30}{9}-5 \  \  \ -2x=frac{30}{9}- frac{45}{9}  \  \  \ x=(- frac{15}{9} )* (- frac{1}{2}) \  \  \ x= frac{15}{18}  \  \  \ x=frac{15:3}{18:3} \  \  \ x= frac{5}{6}
Вас заинтересует