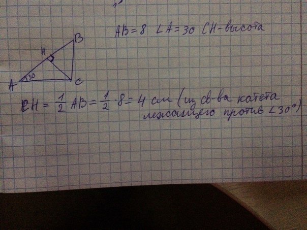
В прямоугольном треугольник ABC к гипотенузе AB проведена высота CH. найдите отрезок AH если угол А равен 30°. Гипотенуза АВ равна 8 см
Ответы
Ответ дал:
0
////////////////////////////
Приложения:

Вас заинтересует
2 года назад
7 лет назад
10 лет назад
10 лет назад