• Предмет: Алгебра
  • Автор: вапiu
  • Вопрос задан 11 лет назад

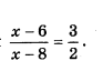
найти корень уравнения

Приложения:

Ответы

Ответ дал: к5о5т5я
0

  frac{x-6}{x-8}=frac{3}{2}

 

 (x-6)*2=(x-8)*3

 

  2x-12=3x-24

 

  x=12

+++++++++++++++++++++++++++++++++++

+++++++++++++++++++++++++++++++++++

+++++++++++++++++++++++++++++++++++

в редакторе не получилось ((

Ответ дал: Аноним
0

x-6         3

----   =  ----

x-8        2

 

2(x-6)= 3 (x-8)

2x-12= 3x-24

x2-3x-12+24= 0

-x+12= 0

-x= -12

x=12

ответ: 12

Вас заинтересует