• Предмет: Алгебра
  • Автор: Kap4chi
  • Вопрос задан 10 лет назад

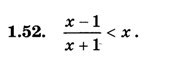
19 балов! 1 пример! Срочно надо! Не игнорьте.

Приложения:

Ответы

Ответ дал: ВладимирБ
0
Решение смотри в приложении
Приложения:
Вас заинтересует