• Предмет: Алгебра
  • Автор: Oleini
  • Вопрос задан 11 лет назад

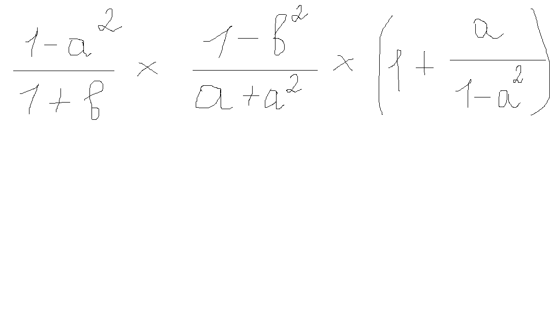
Решите плизззз, очень надо

 вложение ниже

 

 

 

Приложения:

Ответы

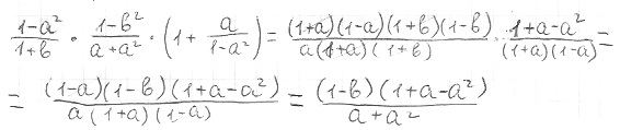
Ответ дал: Ellenochka
0

если надо упростить, но у меня вышло так:

Приложения:
Вас заинтересует