Ответы
Ответ дал:
0
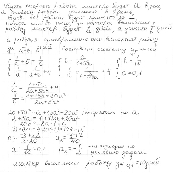
мастер, работая в одиночку, всю работу выполнит за 10 дней
Приложения:

Вас заинтересует
2 года назад
2 года назад
8 лет назад
8 лет назад
10 лет назад
10 лет назад
10 лет назад