• Предмет: Алгебра
  • Автор: dashalitau
  • Вопрос задан 10 лет назад

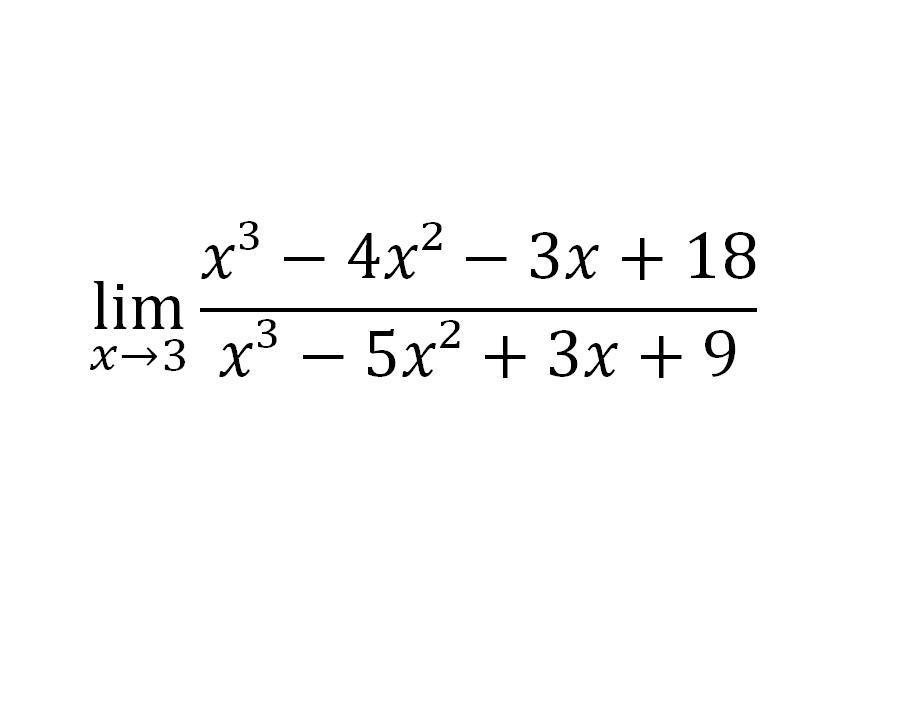
Помогите пожалуйста найти предел функции

Приложения:

Ответы

Ответ дал: ShirokovP
0
 lim_{x to 3}  frac{x^3-4x^2-3x+18}{x^3-5x^2+3x+9} =[0/0]= \  \ = lim_{x to 3}  frac{3x^2-8x-3}{3x^2-10x+3} =[0/0]= \  \ = lim_{x to 3}  frac{6x-8}{6x-10} = frac{6*3-8}{6*3-10} = frac{18-8}{18-10} = frac{10}{8} = frac{5}{4}=1,25
Ответ дал: dashalitau
0
Буду изучать) Обязательно отмечу!)
Вас заинтересует