• Предмет: Математика
  • Автор: DESS2003
  • Вопрос задан 10 лет назад

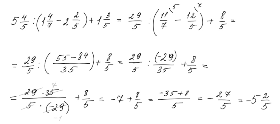
РЕШИТЕ ДРОБЬ ДАЮ 15 БАЛЛОВ

5 4/5 :(1 4/7 - 2 2/5)+ 1 3/5

спасибо!

Ответы

Ответ дал: UluanaV
0
Решение в прикрепленном файле.
Приложения:
Вас заинтересует