• Предмет: Алгебра
  • Автор: MrEEE
  • Вопрос задан 10 лет назад

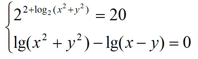
Помогите пожалуйста нужно решить систему! Подробно пожалуйста. Даю 87 баллов!

Приложения:

Ответа на этот вопрос пока нет. Попробуйте найти его через форму поиска.

Вас заинтересует