• Предмет: Физика
  • Автор: kikten
  • Вопрос задан 10 лет назад

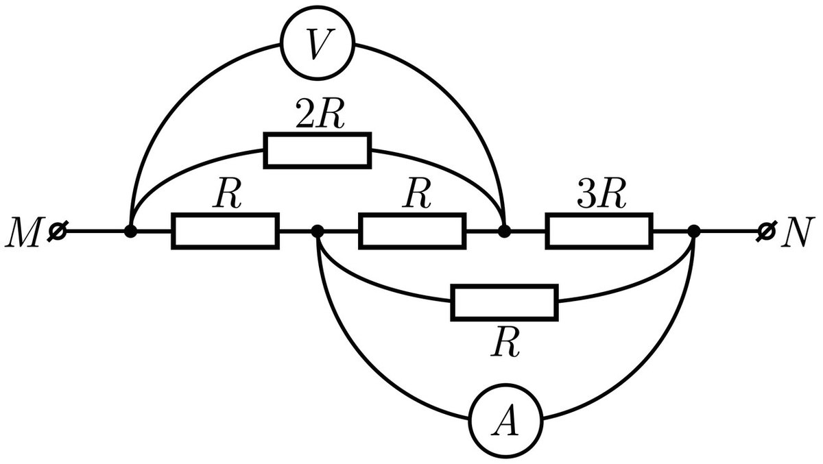
Нужно составить эквивалентную схему.

Приложения:

Ответы

Ответ дал: Levedik
0
Схемотехника - Схемотехника и конструирование схем Как следует из сказанного выше, все малосигнальные (дифференциальные) параметры транзисторов так или иначе зависят от частоты переменного сигнала. Причем с ростом этой частоты все более значительными становятся их мнимые (реактивные) составляющие (для разных параметров эти зависимости различны). Чтобы отразить на эквивалентных схемах с элементами, описываемыми только действительными величинами, влияние этих факторов, туда вводятся дополнительные элементы с чисто реактивными проводимостями (обычно это емкости). При таком подходе эквивалентная схема хотя и перестает быть полным аналогом линейного проходного четырехполюсника с комплексными параметрами, но продолжает относительно точно отражать происходящие в нем процессы до достаточно высокого диапазона частот. Все это становится возможным только благодаря тем особым свойствам, которые присущи именно транзисторным усилительным каскадам, рассматриваемым в качестве линейных проходных четырехполюсников (пример описанной методики преобразования обобщенной эквивалентной схемы для случая Т-образной схемы с источником тока дан на рис. 4.10).
Вас заинтересует