• Предмет: Алгебра
  • Автор: norikoneo
  • Вопрос задан 10 лет назад

помогите пожалуйста?(

Приложения:

Ответы

Ответ дал: Shelkovaia
0
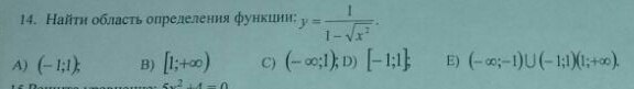
ответ под буквой е. все числа кроме -1 и 1
Вас заинтересует