• Предмет: Математика
  • Автор: Kerek900
  • Вопрос задан 10 лет назад

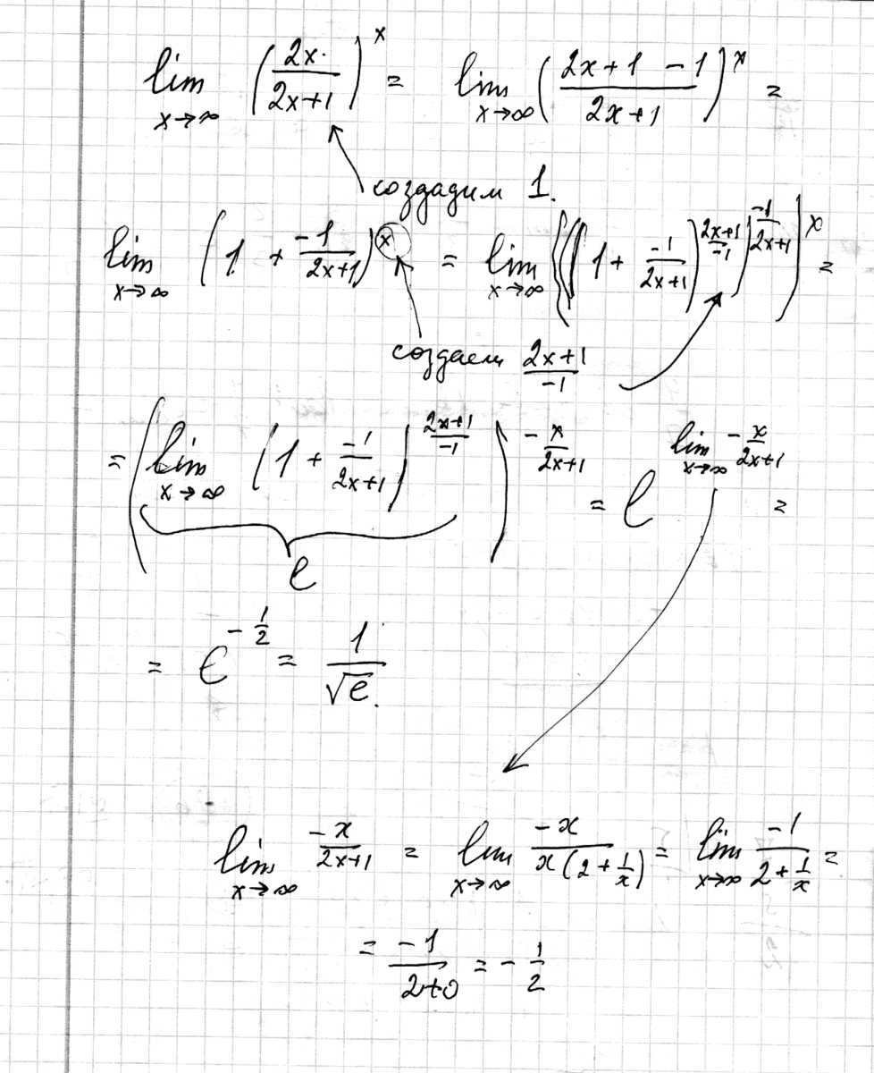
Высшая математика, пределы. Ответ должен быть: 1/корень из е

Приложения:

Ответы

Ответ дал: potapov19461
0
При вычислении таких пределов нужно иметь (1+α)^(1/α).Добавляем показатели так, чтобы показатель не изменился, компенсируем деление умножением 
Приложения:
Вас заинтересует