Ответы
Ответ дал:
0
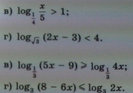
1) все логарифмы в этом примере по основанию 1/4. у = log t убывающая, значит 0,2 х меньше 0, 25 и х больше 0 одновременно. х больше 0, но меньше 1, 25
2) логарифм по основанию √3. Функция у = log t возрастающая. Значит 2х - 3 меньше 9 и 2х - 3 больше 0. Отсюда х больше 1,5, но меньше 6.
3) log по основанию1/3. 5х - 9 ≤ 4х, отсюда х≤ 9 и 5х - 9 больше 0, т.е. х больше 1,8. Ответ: х больше 1, 8, но меньше или равно 9.
4) log t возрастающая (основание 3, больше 1). Значит 8 - 6х ≤ 2х, -8х ≤ -8,
х ≥1 и 8 - 6х больше 0.Т.о. 1 ≤ х ≤ 4/3.
2) логарифм по основанию √3. Функция у = log t возрастающая. Значит 2х - 3 меньше 9 и 2х - 3 больше 0. Отсюда х больше 1,5, но меньше 6.
3) log по основанию1/3. 5х - 9 ≤ 4х, отсюда х≤ 9 и 5х - 9 больше 0, т.е. х больше 1,8. Ответ: х больше 1, 8, но меньше или равно 9.
4) log t возрастающая (основание 3, больше 1). Значит 8 - 6х ≤ 2х, -8х ≤ -8,
х ≥1 и 8 - 6х больше 0.Т.о. 1 ≤ х ≤ 4/3.
Вас заинтересует
3 года назад
3 года назад
8 лет назад
8 лет назад
10 лет назад
10 лет назад
11 лет назад