• Предмет: Геометрия
  • Автор: pshemiska
  • Вопрос задан 10 лет назад

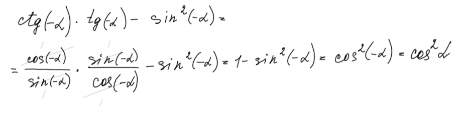
Спростіть вираз ctg(-α)∙tg(-α)-〖sin〗^2 (-α).

Ответы

Ответ дал: UluanaV
0
Решение в прикрепленном файле.
Приложения:
Вас заинтересует