• Предмет: Математика
  • Автор: haska1488
  • Вопрос задан 10 лет назад

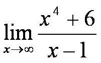
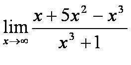
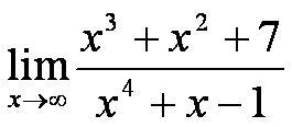
Решите пожалуйста,математику!!!
Все кто знает Пределы,помогите пожалуйста!

Приложения:

Ответа на этот вопрос пока нет. Попробуйте найти его через форму поиска.

Вас заинтересует