Ответы
Ответ дал:
0
=
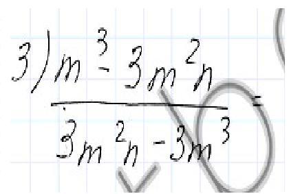
в числителе m³-3m²n
в знаменателе 3m²n-3m³
= выносишь в числителе m² = m² (m-3n)
и в знаменателе выносишь 3 m² = 3m² (n-m)
= m² сокращаешь
= в числителе m-3n
в знаменателе 3 (n-m)
=
в числителе m³-3m²n
в знаменателе 3m²n-3m³
= выносишь в числителе m² = m² (m-3n)
и в знаменателе выносишь 3 m² = 3m² (n-m)
= m² сокращаешь
= в числителе m-3n
в знаменателе 3 (n-m)
=
Вас заинтересует
3 года назад
3 года назад
8 лет назад
8 лет назад
10 лет назад
10 лет назад
11 лет назад