• Предмет: Алгебра
  • Автор: Артур998
  • Вопрос задан 10 лет назад

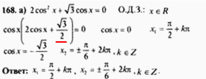
Объясните откуда в знаменателе взялась 2?

Приложения:

Ответа на этот вопрос пока нет. Попробуйте найти его через форму поиска.

Вас заинтересует