• Предмет: Математика
  • Автор: ксюша654
  • Вопрос задан 10 лет назад

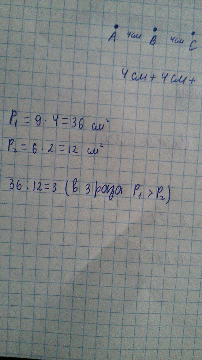
Во сколько раз площадь прямоугольника со сторонами 9 сантиметров и 4 сантиметров больше чем площадь прямоугольника со сторонами 6 сантиметров и 2 сантиметров

Ответы

Ответ дал: somebody17
0
Площадь первого 9*4=36
Площадь второго 6*2=12
36:12=3
В 3 раза
Ответ дал: Vishnyakova165
0
Sпр=9*4=36, Sпр=6*2=12; 36:12=3. Площадь первого прямоугольника больше в три раза первого. 
Ответ дал: вампир999
0
...........................
Приложения:
Ответ дал: вампир999
0
вместо P S
Вас заинтересует