• Предмет: Алгебра
  • Автор: olechka199812
  • Вопрос задан 10 лет назад

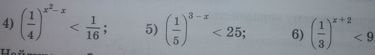
помогите пожалуйста решить (с решением)

Приложения:

Ответа на этот вопрос пока нет. Попробуйте найти его через форму поиска.

Вас заинтересует