• Предмет: Алгебра
  • Автор: merkidanova
  • Вопрос задан 10 лет назад

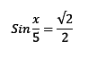
Решите уравнение, (поподробнее)

Приложения:

Ответы

Ответ дал: Anastasiyakodz
0
расписала подробно, как смогла
Приложения:
Вас заинтересует