Ответы
Ответ дал:
0
думаю, все понятно. а вопрос более к математике относится
Приложения:

Ответ дал:
0
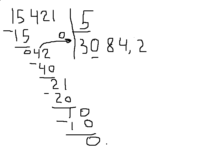
остаток 1 будет я так решил больше не знаю как
Приложения:

Вас заинтересует
2 года назад
2 года назад
7 лет назад
7 лет назад
10 лет назад
10 лет назад