• Предмет: Алгебра
  • Автор: DenZun
  • Вопрос задан 10 лет назад

Решите уравнение!!! СРОЧНО))

Приложения:

Ответы

Ответ дал: Solнышко
0
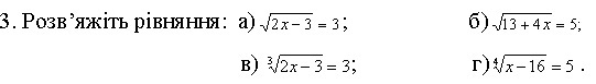
а) левую и правую часть уравнения возводим в квадрат, что бы избавиться от корня . 2х-3=9. 2х=9+3. 2х=12. х=12:2. х=6 б) 13+4х=25. 4х=25-13.    4х=12. х=12:4. х=3. в) возводим левую и правую часть в 3-ю степень. 2х-3=27. 2х=27+3. 2х=30. х=30:2. х=15 Г) возведём в 4 степень. х - 16= 625. х=625+ 16. х= 641
Вас заинтересует