• Предмет: Алгебра
  • Автор: Rosa5
  • Вопрос задан 10 лет назад

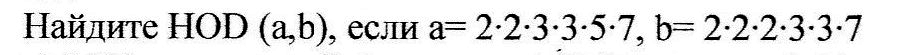
Задание в приложении Спасибо !

Приложения:

Ответа на этот вопрос пока нет. Попробуйте найти его через форму поиска.

Вас заинтересует