• Предмет: Алгебра
  • Автор: Pollyru
  • Вопрос задан 10 лет назад

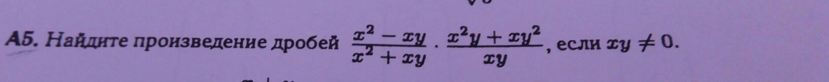
помогите! срочно!!! обязательно с решением!

Приложения:

Ответы

Ответ дал: Dima5319
0
 frac{ x^{2} -xy}{x^2+xy} * frac{xy*(x+y)}{xy} =  frac{x*(x-y)}{x(x+y)} *(x+y)=x-y
Ответ дал: Dima5319
0
вот держи с редактором даже:)
Вас заинтересует