Ответы
Ответ дал:
0
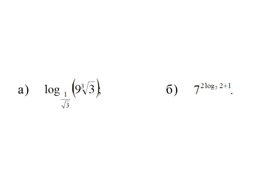
a) Смотрим на части примера:
1/√3 = 3^-1/2
9∛3 = 3^2*3^1/3= 3^7/3
сам пример= 7/3* log3(3)/log3(3^-1/2) = 7/3: (1/2) = -14/3
б)7^(2log7(2) +1) = (7^log7(2))² * 7^1= 2² * 7 = 28
1/√3 = 3^-1/2
9∛3 = 3^2*3^1/3= 3^7/3
сам пример= 7/3* log3(3)/log3(3^-1/2) = 7/3: (1/2) = -14/3
б)7^(2log7(2) +1) = (7^log7(2))² * 7^1= 2² * 7 = 28
Вас заинтересует
3 года назад
3 года назад
8 лет назад
8 лет назад
10 лет назад
10 лет назад
10 лет назад