Ответы
Ответ дал:
0
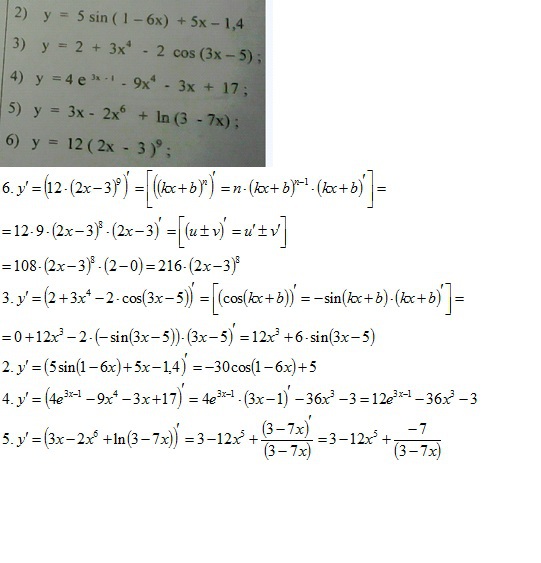
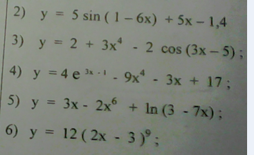
2) y`= 5·cos(1-6x)·(1-6x)`+5=5·cos(1-6x)·(-6)+5=-30cos(1-6x) + 5
3) y`=12x³-2·(-sin(3x-5))·(3x-5)`=12x³-2·(-sin(3x-5))·(3)=12x³+6·sin(3x-5)


6)y`=12·9·(2x-3)⁸·(2x-3)`=12·9·(2x-3)⁸·(2)=216·(2x-3)⁸
3) y`=12x³-2·(-sin(3x-5))·(3x-5)`=12x³-2·(-sin(3x-5))·(3)=12x³+6·sin(3x-5)
6)y`=12·9·(2x-3)⁸·(2x-3)`=12·9·(2x-3)⁸·(2)=216·(2x-3)⁸
Ответ дал:
0
решение во вложении----------------------------
Приложения:
Вас заинтересует
2 года назад
2 года назад
8 лет назад
8 лет назад
10 лет назад
10 лет назад
10 лет назад