• Предмет: Физика
  • Автор: ABC1234567
  • Вопрос задан 11 лет назад

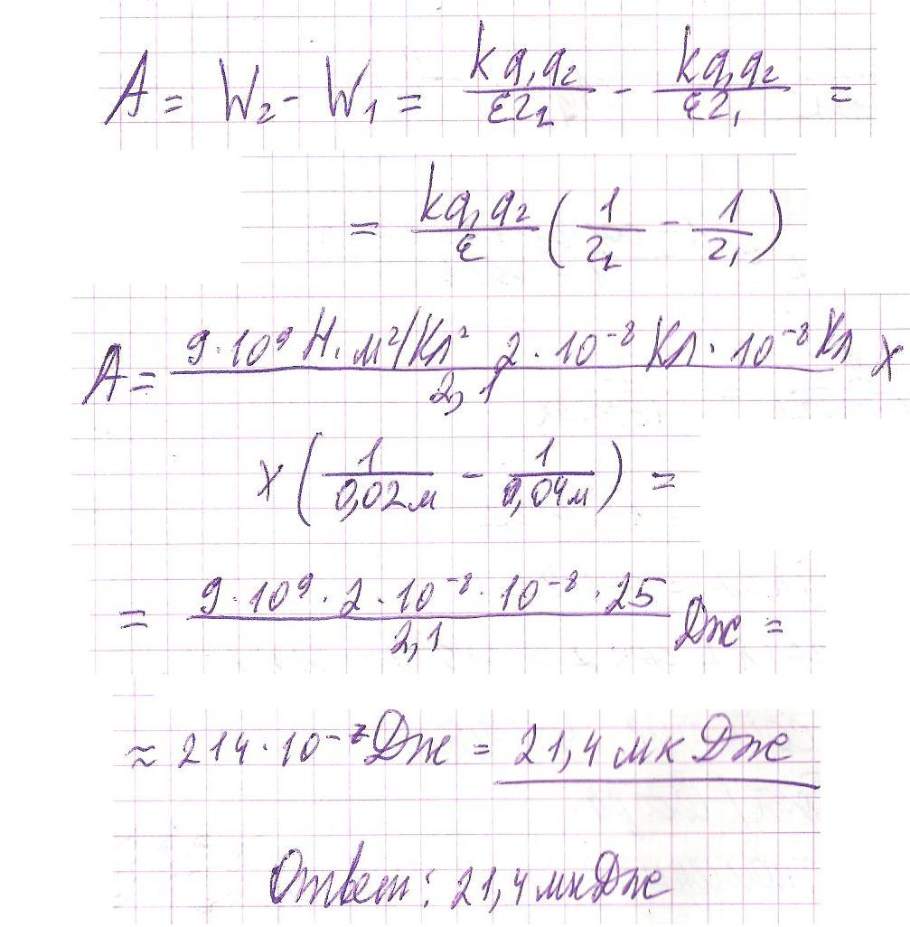
Точечные заряды q1 = 2 • 10^(-8) Кл и q2 = 10^(-8) Кл расположены в керосине ( ε = 2,1) на расстоянии г1 = 0,04 м друг от друга. Какую работу надо совершить, чтобы сблизить заряды до расстояния г2 = 0,02 м?

Ответы

Ответ дал: Artem112
0

надеюсь будет понятно..........

Приложения:
Вас заинтересует