• Предмет: Алгебра
  • Автор: tomadavidenko
  • Вопрос задан 10 лет назад

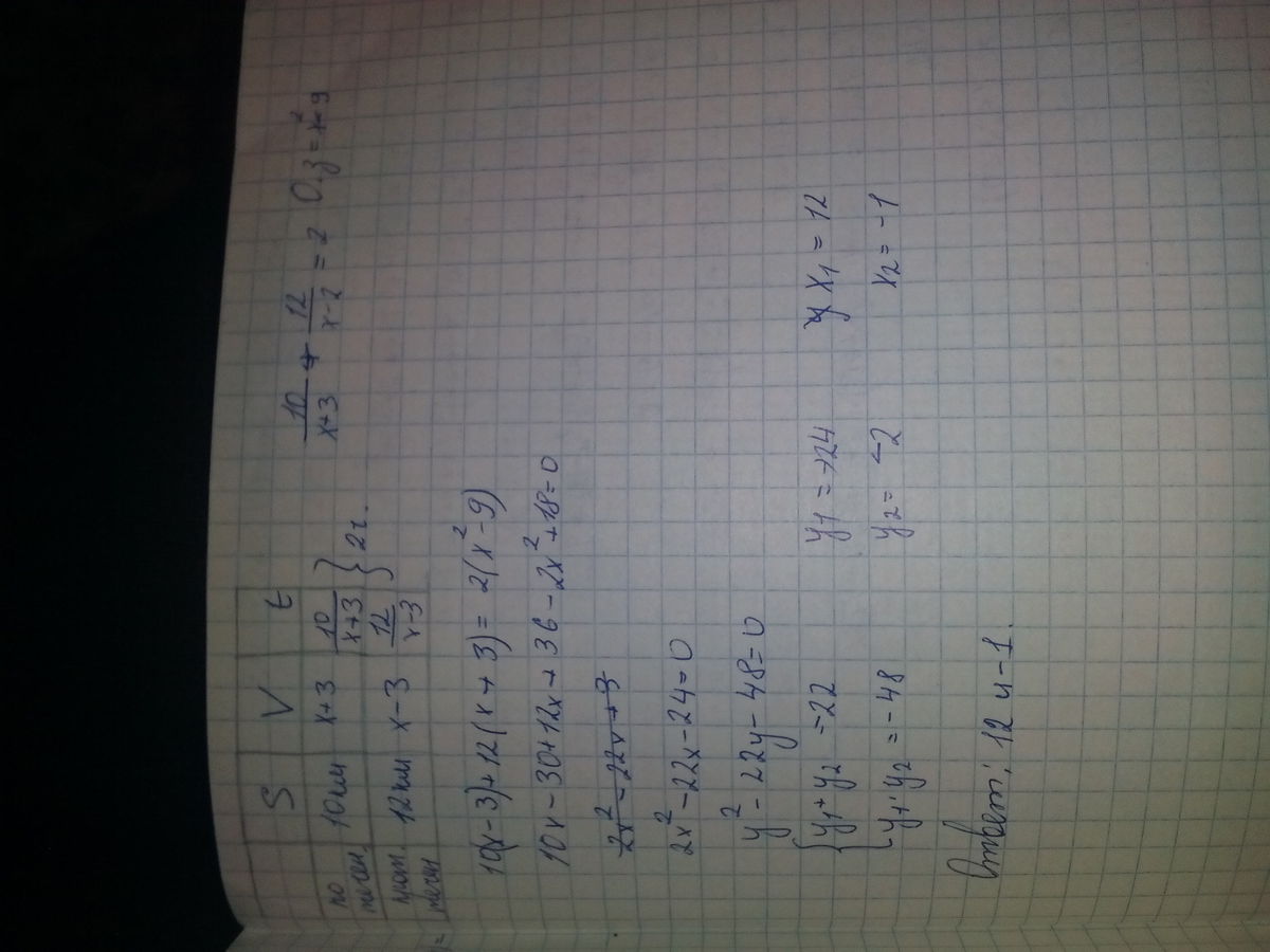
1)Моторная лодка прошла 10км по течению реки и 12 км против течения,затратив на весь путь 2 ч. Скорость течения реки равна 3 кмч. Найдите скорость реки

Ответы

Ответ дал: Настя8в
0
Воот. Это мы в классе решали) Это правильно решено)
Приложения:
Вас заинтересует