Ответы
Ответ дал:
0
все сведется к квадратному уравнению, которое решается по т.Виета)))
и потом можно записать решение по определению логарифма...
а можно прологарифмировать обе части равенства по основанию 6...
и потом можно записать решение по определению логарифма...
а можно прологарифмировать обе части равенства по основанию 6...
Приложения:

Ответ дал:
0
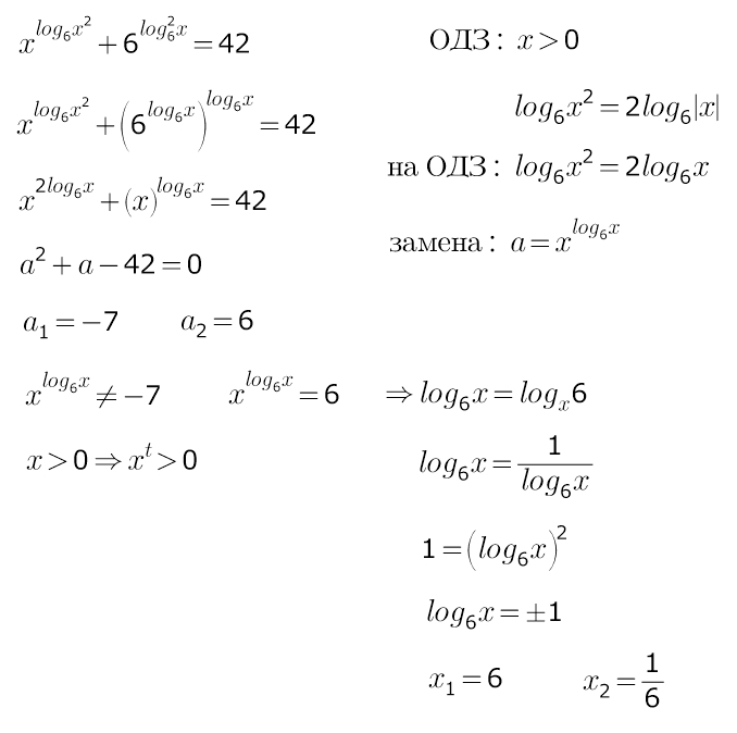
x^(Log6 x²) +6^(Log6 x)² =42 ;
ОДЗ : x >0
x^(2Log6 x) +(6^Log6 x)^ (Log6 x) =42 ;
(x^(Log6 x))² +x^(Log6 x) -42 =0 ; * * * t =x^(Log6 x) >0 * * *
[x^ Log6 x = -7 ; x^ Log6 x =6.
x^ Log6 x =6
(Log6 x)² =1 ⇔[ Log6 x= -1 ; Log6 x =1⇔ [ x =1/6 , x=6.
ОДЗ : x >0
x^(2Log6 x) +(6^Log6 x)^ (Log6 x) =42 ;
(x^(Log6 x))² +x^(Log6 x) -42 =0 ; * * * t =x^(Log6 x) >0 * * *
[x^ Log6 x = -7 ; x^ Log6 x =6.
x^ Log6 x =6
(Log6 x)² =1 ⇔[ Log6 x= -1 ; Log6 x =1⇔ [ x =1/6 , x=6.
Приложения:

Вас заинтересует
2 года назад
7 лет назад
7 лет назад
10 лет назад
10 лет назад
10 лет назад