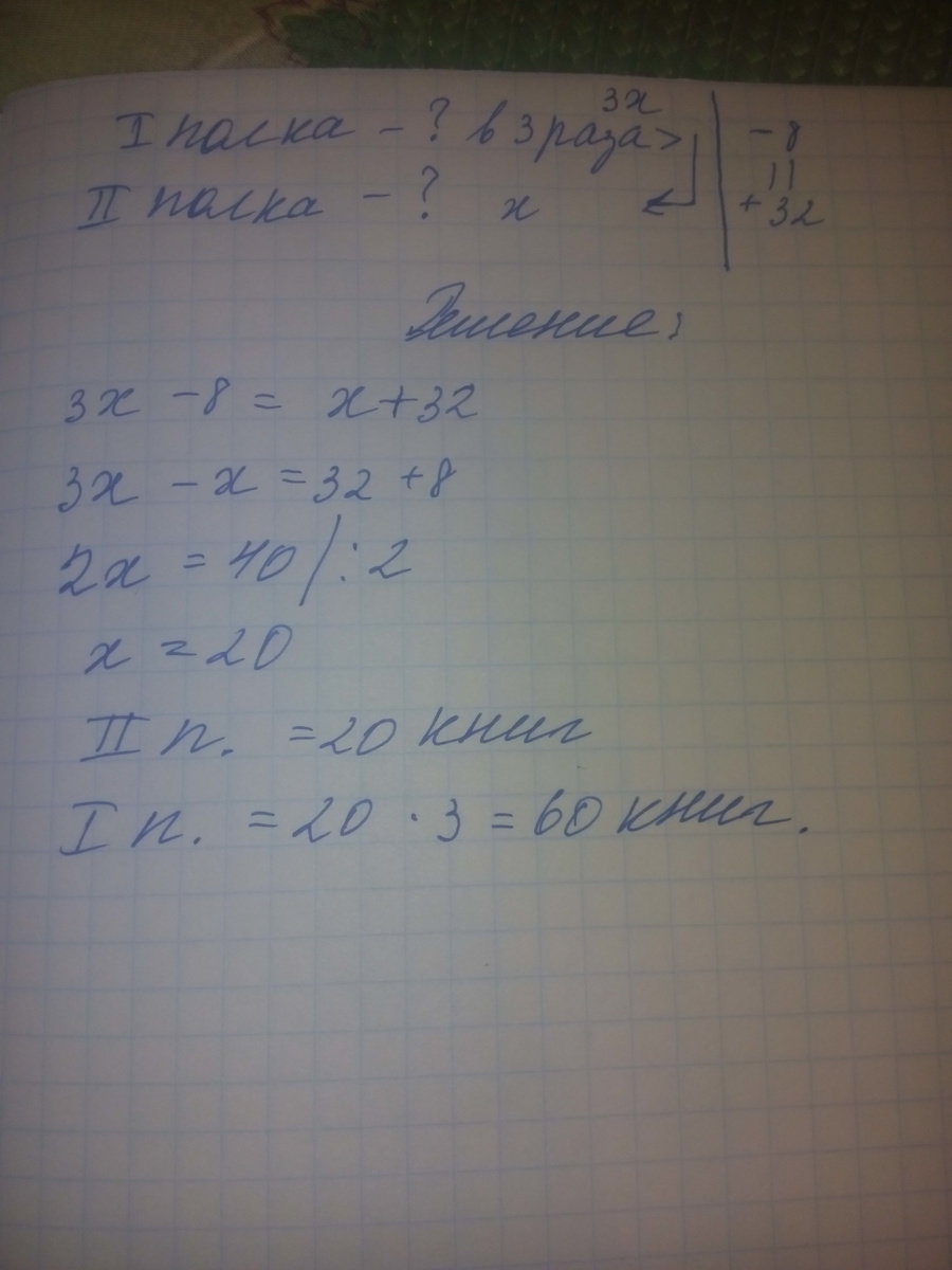
На одной полке было в 3 раза больше книг чем на другой. Когда с одной полке сняли 8 книг а на другую положили 32 книги то на полках стало книг поровну. Сколько книг было на каждой полке первоначально решите уровнение
Ответы
Ответ дал:
0
как-то так)))))))))))))))
Приложения:

Вас заинтересует
2 года назад
2 года назад
7 лет назад
7 лет назад
10 лет назад
10 лет назад
10 лет назад