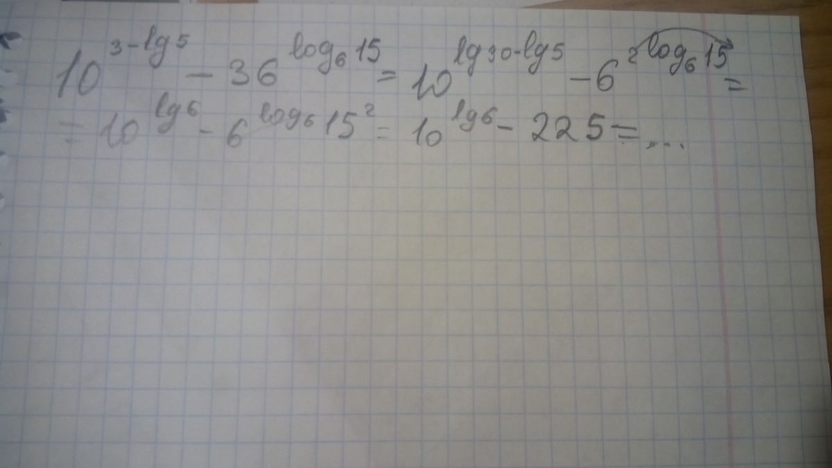
помогите пожалуйста дорешать с обьяснениями
Есть такие варианты ответов:
1) -25
2) 425
3)-205
4)245
5)-26
Приложения:

Ответы
Ответ дал:
0
просто 6-225=-219(т.к. b^log a (по основанию b)=а)
Вас заинтересует
2 года назад
2 года назад
7 лет назад
7 лет назад
10 лет назад