Ответы
Ответ дал:
0
Всё решаем по формулам.
Приложения:

Ответ дал:
0
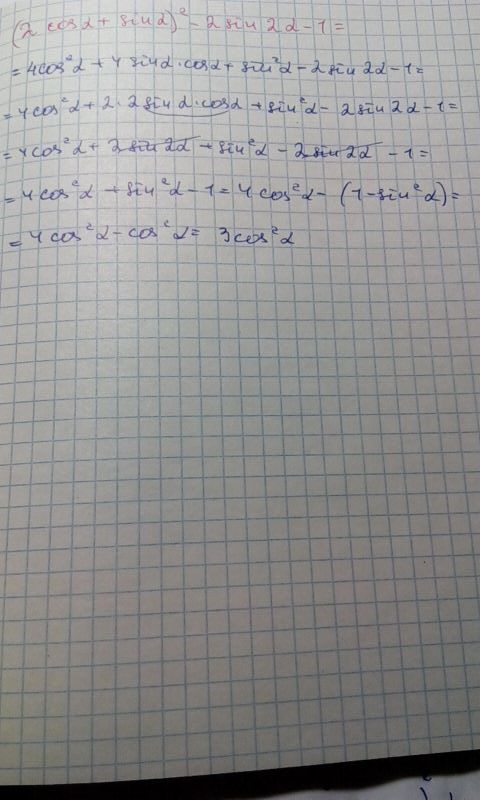
* * * (a+b)² =a²+2ab+b² ; sin²α+cos²α =1 ; sin2α =2sinαcosα * * *
-------
(2cosα +sinα)² -2sin2α -1 =4cos²α +4sinαcosα +sin²α -2sin2α -1 =
3cos²α +(cos²α+sin²α) -1 +(4sinαcosα -2sin2α) =
3cos²α +1 -1 +(2sin2α -2sin2α) =3cos²α.
-------
(2cosα +sinα)² -2sin2α -1 =4cos²α +4sinαcosα +sin²α -2sin2α -1 =
3cos²α +(cos²α+sin²α) -1 +(4sinαcosα -2sin2α) =
3cos²α +1 -1 +(2sin2α -2sin2α) =3cos²α.
Приложения:

Вас заинтересует
2 года назад
2 года назад
7 лет назад
7 лет назад
10 лет назад
10 лет назад