Помогите пожалуйста решить и скажите, как называются эти уравнения.
1) x4 + 9 = 10x2 (ну икс в квадрате)
2) x4 - 14x2 = 15
3) x4 +x2 = 0
4) x4 + 2x2 - 3 = 0
5) x3 +4x2+4x+1 =0
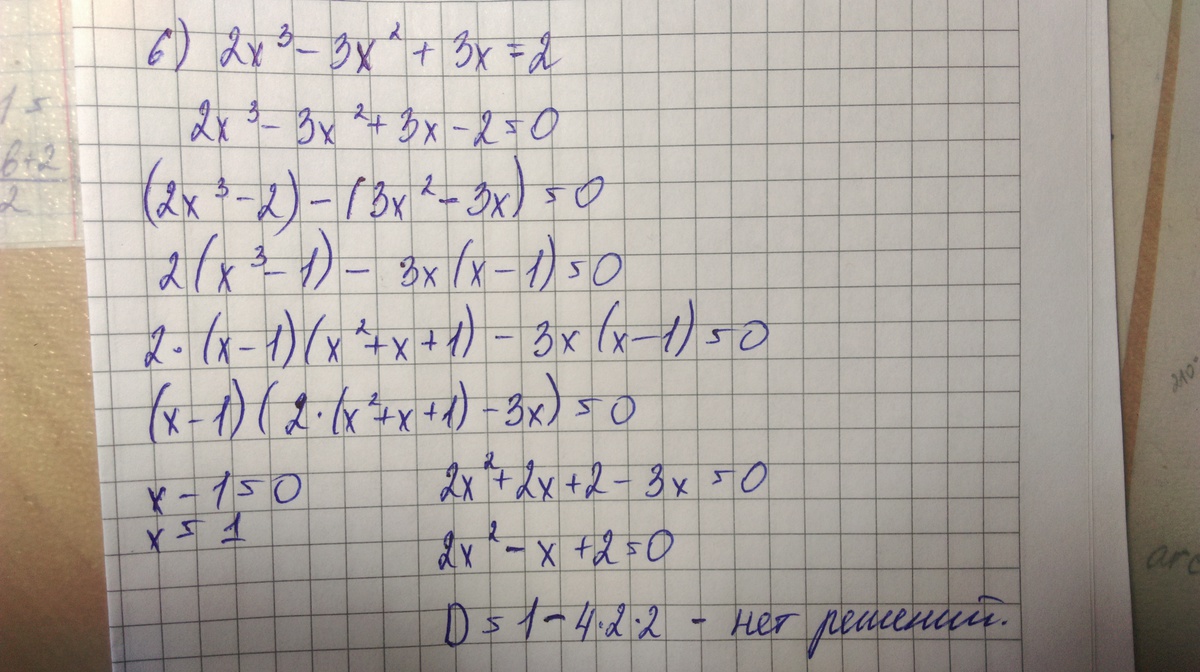
6) 2x3 -3x2+3x= 2
Ответы
Ответ дал:
0
Это квадратные уравнения. Последние два кубические. Надеюсь что без ошибок)
Приложения:
Ответ дал:
0
Спасибо;3
Вас заинтересует
2 года назад
2 года назад
8 лет назад
8 лет назад
10 лет назад
10 лет назад
10 лет назад
10 лет назад