Ответы
Ответ дал:
0
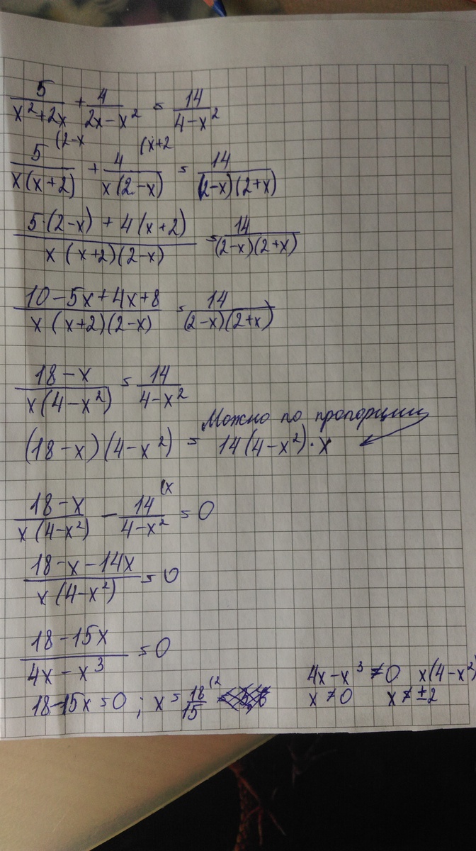
Как я уже написала, можно по пропорции, но я решила перенести дробь из правой части в левую, и привести к общему знаменателю
Приложения:

Вас заинтересует
2 года назад
7 лет назад
7 лет назад
10 лет назад
10 лет назад
10 лет назад