Ответы
Ответ дал:
0
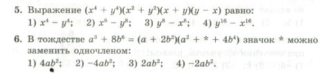
5.4)
6.2)-4a
6.2)-4a
Вас заинтересует
3 года назад
8 лет назад
8 лет назад
10 лет назад
10 лет назад
11 лет назад