• Предмет: Алгебра
  • Автор: Маша9929
  • Вопрос задан 10 лет назад

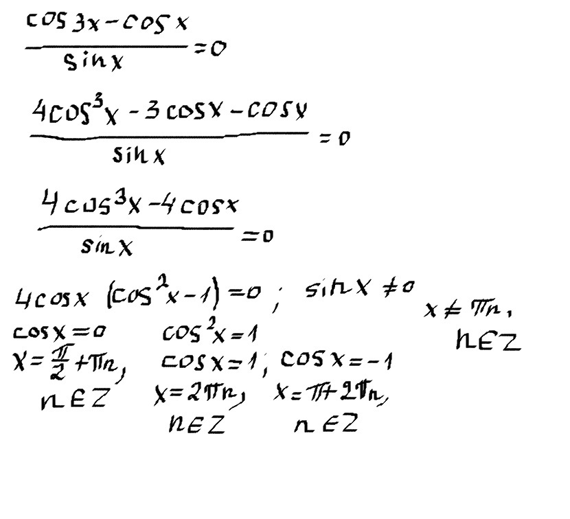
тригонометрия...решить букву г)

Приложения:

Ответы

Ответ дал: Луни7
0
.............................
Приложения:
Вас заинтересует