• Предмет: Математика
  • Автор: TREK46
  • Вопрос задан 10 лет назад

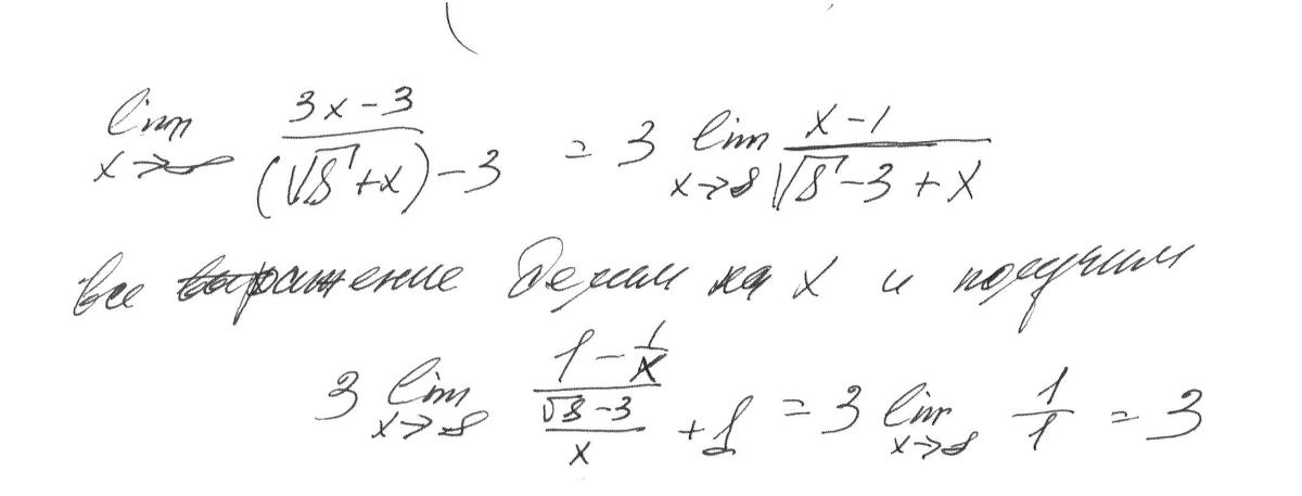
Найти предел функции x→бесконечности (3x-3)/((√8+x)-3)

Ответы

Ответ дал: Cергейка
0
Предел равен 3, смотри скан.
Приложения:
Вас заинтересует