• Предмет: Математика
  • Автор: cherevikvalera
  • Вопрос задан 10 лет назад

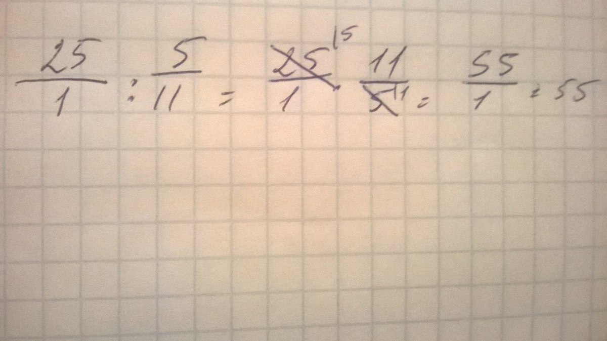
Помогите решить 25/1:5/11

Ответы

Ответ дал: 25hjoerf10
0
 frac{25}{1} : frac{5}{11} = frac{25}{1} * frac{11}{5} =55
Ответ дал: 1969olga
0
Так вроде бы? я правильно поняла?
Приложения:
Вас заинтересует