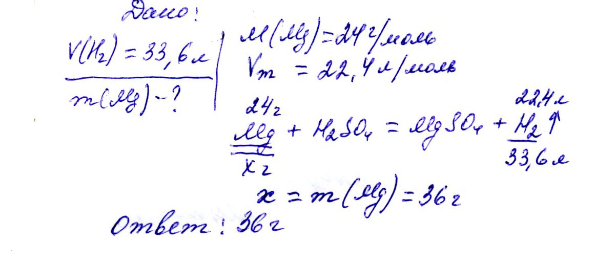
Вычислите массу магния, прореагировал с разведенной серной кислотой, если выделилось 33,6 водорода (н.у.)
Ответы
Ответ дал:
0
Ответ на задачу см в приложении
Приложения:

Вас заинтересует
2 года назад
10 лет назад
10 лет назад