• Предмет: Алгебра
  • Автор: posrednikovaa
  • Вопрос задан 10 лет назад

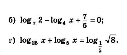
Помогите решить, пожалуйста.
Желательно подробно.

Приложения:

Ответа на этот вопрос пока нет. Попробуйте найти его через форму поиска.

Вас заинтересует