Ответы
Ответ дал:
0
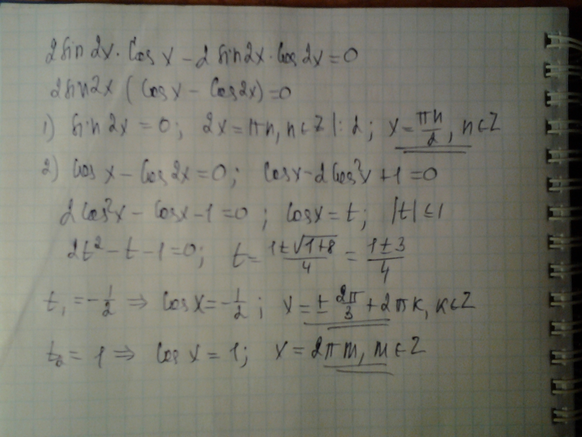
Применены формулы двойного угла, преобразование суммы в произведение
Приложения:

Вас заинтересует
2 года назад
7 лет назад
10 лет назад
10 лет назад
10 лет назад