• Предмет: Математика
  • Автор: Vakarov1978
  • Вопрос задан 10 лет назад

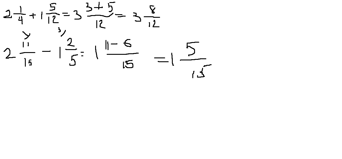
вычислить 2 целых 1/4 + 1целых 5/12 б) 2 целых 11/15 -1 целых 2/5

Ответы

Ответ дал: vita612
0
Расписала.
Смотри в файле ниже
Приложения:
Вас заинтересует