• Предмет: Алгебра
  • Автор: Liyaa
  • Вопрос задан 10 лет назад

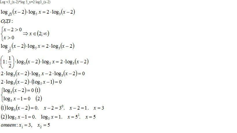
log √3_(х-2)*log 5_х=2 log3_(х-2)

Ответы

Ответ дал: kirichekov
0
решение во вложении----------------------------
Приложения:
Вас заинтересует