• Предмет: Алгебра
  • Автор: T6753
  • Вопрос задан 10 лет назад

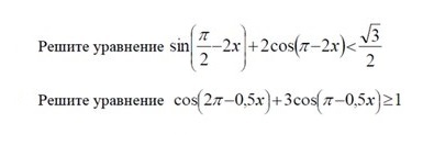
Помогите пожалуйста решить неравенства, очень надо:

Приложения:

Ответа на этот вопрос пока нет. Попробуйте найти его через форму поиска.

Вас заинтересует
8 лет назад